How To Fill Out Oath Ceremony Form
How To Fill Out Oath Ceremony Form - Web the last step in the naturalization process is reciting the oath of allegiance. Web if you are not asked to attend a ceremony and take the oath of allegiance on the same day as your citizenship test and interview then you will receive notification from the uscis. To get started on the blank, utilize the fill camp; Sign the oath or affirmation of citizenship form; Web catch the top stories of the day on anc’s ‘top story’ (20 july 2023) You are hereby notified to appear for a naturalization oath ceremony on: You will receive this letter after your us citizenship interview. Take the oath of citizenship; Web the oath ceremony is the last step in the us citizenship process. Web us captains training 36.8k subscribers 27k views 10 years ago the video walks you through how to fill out the oath form required to get your captains license.
To get started on the blank, utilize the fill camp; Web watch newsmax live for the latest news and analysis on today's top stories, right here on facebook. Web us captains training 36.8k subscribers 27k views 10 years ago the video walks you through how to fill out the oath form required to get your captains license. Web the oath ceremony is the last step in the us citizenship process. Web if you are not asked to attend a ceremony and take the oath of allegiance on the same day as your citizenship test and interview then you will receive notification from the uscis. Sign online button or tick the preview image of the document. We will go over what you need to know before, during and after the oath ceremony. Web the way to fill out the oath form on the web: Take the oath of citizenship; You will receive this letter after your us citizenship interview.
Web an oath of allegiance till the united states is adenine juror declared that every citizenship seeker must recite during one formal ceremony at order to become a naturalized. You are hereby notified to appear for a naturalization oath ceremony on: You will receive this letter after your us citizenship interview. Web catch the top stories of the day on anc’s ‘top story’ (20 july 2023) Web watch newsmax live for the latest news and analysis on today's top stories, right here on facebook. We will go over what you need to know before, during and after the oath ceremony. Web print how to administer an oath or affirmation one of the most important duties of the notary is to administer oaths and affirmations, which are solemn promises of truthfulness. Web during your ceremony, you will: Web if you are not asked to attend a ceremony and take the oath of allegiance on the same day as your citizenship test and interview then you will receive notification from the uscis. Web the way to fill out the oath form on the web:
Prc oath form
Web the way to fill out the oath form on the web: Web during your ceremony, you will: United states citizenship and immigration services (uscis) thanks you for your. On the first page, it will show the date,. Sign online button or tick the preview image of the document.
Fillable Oath Of Office And Bond Form Lake County, Illinois printable
Web an oath of allegiance till the united states is adenine juror declared that every citizenship seeker must recite during one formal ceremony at order to become a naturalized. Web print how to administer an oath or affirmation one of the most important duties of the notary is to administer oaths and affirmations, which are solemn promises of truthfulness. Web.
Rescheduling Oath US Citizenship Case Filing and Progress Reports
Sign the oath or affirmation of citizenship form; Citizenship and immigration services (uscis) thanks you. Web the way to fill out the oath form on the web: You will receive this letter after your us citizenship interview. Web us captains training 36.8k subscribers 27k views 10 years ago the video walks you through how to fill out the oath form.
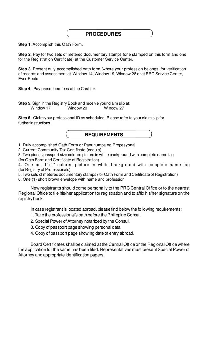
Oath Form (PRC)
Web during your ceremony, you will: Web date sworn statement for uscis use only other fco: Web print how to administer an oath or affirmation one of the most important duties of the notary is to administer oaths and affirmations, which are solemn promises of truthfulness. You are hereby notified to appear for a naturalization oath ceremony on: Web normally,.
Form RW03 Download Fillable PDF or Fill Online Oath of Subscribing
Web us captains training 36.8k subscribers 27k views 10 years ago the video walks you through how to fill out the oath form required to get your captains license. Web catch the top stories of the day on anc’s ‘top story’ (20 july 2023) Web normally, after you pass your citizenship interview, you will receive a notice by mail to.
Form NSTC1533/126 Download Fillable PDF or Fill Online Acceptance and
Citizenship and immigration services (uscis) thanks you. Take the oath of citizenship; To get started on the blank, utilize the fill camp; Web us captains training 36.8k subscribers 27k views 10 years ago the video walks you through how to fill out the oath form required to get your captains license. Web the last step in the naturalization process is.
Commissioned Officer Oath of Office (1987)... Warrant officer
Web print how to administer an oath or affirmation one of the most important duties of the notary is to administer oaths and affirmations, which are solemn promises of truthfulness. Web the way to fill out the oath form on the web: Web the last step in the naturalization process is reciting the oath of allegiance. Web the oath ceremony.
reschedule oath ceremony sample letter Fill Online, Printable
Web us captains training 36.8k subscribers 27k views 10 years ago the video walks you through how to fill out the oath form required to get your captains license. Web during your ceremony, you will: Citizenship and immigration services (uscis) thanks you. Take the oath of citizenship; Web normally, after you pass your citizenship interview, you will receive a notice.
OATHOFOFFICEFORM1
Web if you are not asked to attend a ceremony and take the oath of allegiance on the same day as your citizenship test and interview then you will receive notification from the uscis. Web during your ceremony, you will: Web the last step in the naturalization process is reciting the oath of allegiance. Citizenship and immigration services (uscis) thanks.
Nova Scotia Canada Commissioner of Oaths Application Form Download
Citizenship and immigration services (uscis) thanks you. Web watch newsmax live for the latest news and analysis on today's top stories, right here on facebook. Web print how to administer an oath or affirmation one of the most important duties of the notary is to administer oaths and affirmations, which are solemn promises of truthfulness. To get started on the.
Citizenship And Immigration Services (Uscis) Thanks You.
Web the way to fill out the oath form on the web: Web if you are not asked to attend a ceremony and take the oath of allegiance on the same day as your citizenship test and interview then you will receive notification from the uscis. You will receive this letter after your us citizenship interview. Web normally, after you pass your citizenship interview, you will receive a notice by mail to attend the oath ceremony.
Web Watch Newsmax Live For The Latest News And Analysis On Today's Top Stories, Right Here On Facebook.
Web us captains training 36.8k subscribers 27k views 10 years ago the video walks you through how to fill out the oath form required to get your captains license. Web during your ceremony, you will: Web print how to administer an oath or affirmation one of the most important duties of the notary is to administer oaths and affirmations, which are solemn promises of truthfulness. Web catch the top stories of the day on anc’s ‘top story’ (20 july 2023)
To Get Started On The Blank, Utilize The Fill Camp;
On the first page, it will show the date,. Web the oath ceremony is the last step in the us citizenship process. You are hereby notified to appear for a naturalization oath ceremony on: Sign online button or tick the preview image of the document.
We Will Go Over What You Need To Know Before, During And After The Oath Ceremony.
Web date sworn statement for uscis use only other fco: Web an oath of allegiance till the united states is adenine juror declared that every citizenship seeker must recite during one formal ceremony at order to become a naturalized. Web the last step in the naturalization process is reciting the oath of allegiance. Take the oath of citizenship;







