Finance Equation Sheet
Finance Equation Sheet - Web financial ratio formula sheet fsa note: Summary of financial ratio calculations this note contains a summary of the more common financial statement ratios. Web the accounting equation is a basic principle of accounting and a fundamental element of the balance sheet. The equation is as follows: Web math functions excel formulas cheat sheet. The objective is to assess: A few points should be noted: This equation sets the foundation. Assets = liabilities + shareholder’s equity. Web formula sheet for financial mathematics simple interest = prt i is the amount of interest earned p is the principal sum of.
Web math functions excel formulas cheat sheet. The objective is to assess: A few points should be noted: Assets = liabilities + shareholder’s equity. Web formula sheet for financial mathematics simple interest = prt i is the amount of interest earned p is the principal sum of. Web the accounting equation is a basic principle of accounting and a fundamental element of the balance sheet. Summary of financial ratio calculations this note contains a summary of the more common financial statement ratios. This equation sets the foundation. The equation is as follows: Web financial ratio formula sheet fsa note:
The objective is to assess: Assets = liabilities + shareholder’s equity. This equation sets the foundation. Web math functions excel formulas cheat sheet. Summary of financial ratio calculations this note contains a summary of the more common financial statement ratios. Web financial ratio formula sheet fsa note: The equation is as follows: Web the accounting equation is a basic principle of accounting and a fundamental element of the balance sheet. Web formula sheet for financial mathematics simple interest = prt i is the amount of interest earned p is the principal sum of. A few points should be noted:
Basic Financial Mathematics Formulas Future Value and Present Value
The objective is to assess: Web math functions excel formulas cheat sheet. Web financial ratio formula sheet fsa note: Summary of financial ratio calculations this note contains a summary of the more common financial statement ratios. Assets = liabilities + shareholder’s equity.
Formula sheet Foundations of Finance Formula sheet Present value
The equation is as follows: Assets = liabilities + shareholder’s equity. Web formula sheet for financial mathematics simple interest = prt i is the amount of interest earned p is the principal sum of. This equation sets the foundation. Web the accounting equation is a basic principle of accounting and a fundamental element of the balance sheet.
Corporate Finance Formulas Cost Of Capital Present Value
Web financial ratio formula sheet fsa note: Assets = liabilities + shareholder’s equity. The objective is to assess: Summary of financial ratio calculations this note contains a summary of the more common financial statement ratios. A few points should be noted:
Finance Cheat Sheet Formulas And Concepts RM NISPEROS
Assets = liabilities + shareholder’s equity. Summary of financial ratio calculations this note contains a summary of the more common financial statement ratios. A few points should be noted: Web financial ratio formula sheet fsa note: The equation is as follows:
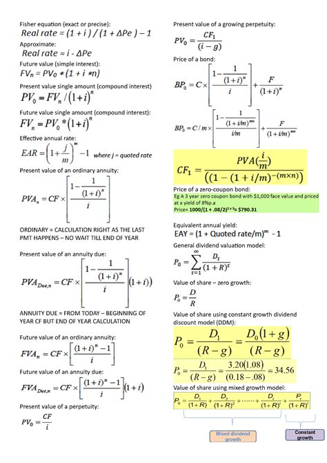
Final Formula Sheet Fisher equation (exact or precise) Approximate
Web formula sheet for financial mathematics simple interest = prt i is the amount of interest earned p is the principal sum of. The equation is as follows: Web math functions excel formulas cheat sheet. Web the accounting equation is a basic principle of accounting and a fundamental element of the balance sheet. Web financial ratio formula sheet fsa note:
Business Formulas Cheat Sheets
Assets = liabilities + shareholder’s equity. The objective is to assess: Web financial ratio formula sheet fsa note: Summary of financial ratio calculations this note contains a summary of the more common financial statement ratios. Web math functions excel formulas cheat sheet.
Finance Formula Sheet businesser
The objective is to assess: Web formula sheet for financial mathematics simple interest = prt i is the amount of interest earned p is the principal sum of. The equation is as follows: Web math functions excel formulas cheat sheet. Summary of financial ratio calculations this note contains a summary of the more common financial statement ratios.
🌈 Cost accounting important topics. Cost accounting formulas
Web formula sheet for financial mathematics simple interest = prt i is the amount of interest earned p is the principal sum of. Web the accounting equation is a basic principle of accounting and a fundamental element of the balance sheet. This equation sets the foundation. The objective is to assess: A few points should be noted:
Finance Formulas Equivalent Annual Annuity Formula (with Calculator
Assets = liabilities + shareholder’s equity. A few points should be noted: Web math functions excel formulas cheat sheet. The objective is to assess: Summary of financial ratio calculations this note contains a summary of the more common financial statement ratios.
FNCE 370 Formula Sheet FNCE 370 Overview of Corporate Finance
Summary of financial ratio calculations this note contains a summary of the more common financial statement ratios. The equation is as follows: The objective is to assess: Web formula sheet for financial mathematics simple interest = prt i is the amount of interest earned p is the principal sum of. Web math functions excel formulas cheat sheet.
This Equation Sets The Foundation.
A few points should be noted: Summary of financial ratio calculations this note contains a summary of the more common financial statement ratios. Web math functions excel formulas cheat sheet. The equation is as follows:
The Objective Is To Assess:
Web formula sheet for financial mathematics simple interest = prt i is the amount of interest earned p is the principal sum of. Web the accounting equation is a basic principle of accounting and a fundamental element of the balance sheet. Web financial ratio formula sheet fsa note: Assets = liabilities + shareholder’s equity.


